Algebra - Factorising Non-Monic Quadratics
Questions with * are hard. You may want to skip them and come back to them at the end.
Question 1
Factorise the following in pairs
a) $xy+3x+2y+6$
a
$(x+2)(y+3)$
Question ID: 20100010010
Something wrong? Copy Question ID and
contact usSubmit yours! Copy Question ID and
click hereQuestion by: ada
Answer by: ada
s
$xy+3x+2y+6$
$=x(y+3)+2(y+3)$
$=(x+2)(y+3)$
or
Question ID: 20100010010
Submit Yours! Copy Question ID and
click hereSolution by: ada
v
Question ID: 20100010010
Submit Yours! Copy Question ID and
click hereVideo by: ada
b) $xy+6x+5y+30$
a
$(x+5)(y+6)$
Question ID: 20100010020
Something wrong? Copy Question ID and
contact usSubmit yours! Copy Question ID and
click hereQuestion by: ada
Answer by: ada
s
$xy+6x+5y+30$
$=x(y+6)+5(y+6)$
$=(x+5)(y+6)$
Question ID: 20100010020
Submit Yours! Copy Question ID and
click hereSolution by: ada
v
Question ID: 20100010020
Submit Yours! Copy Question ID and
click hereVideo by:
c) $ab+7a+4b+28$
a
$(a+4)(b+7)$
Question ID: 20100010030
Something wrong? Copy Question ID and
contact usSubmit yours! Copy Question ID and
click hereQuestion by: ada
Answer by: ada
s
$ab+7a+4b+28$
$=a(b+7)+4(b+7)$
$=(a+4)(b+7)$
Question ID: 20100010030
Submit Yours! Copy Question ID and
click hereSolution by: ada
v
Question ID: 20100010030
Submit Yours! Copy Question ID and
click hereVideo by:
d) $mp+mq+np+nq$
a
$(m+n)(p+q)$
Question ID: 20100010040
Something wrong? Copy Question ID and
contact usSubmit yours! Copy Question ID and
click hereQuestion by: ada
Answer by: ada
s
$mp+mq+np+nq$
$=m(p+q)+n(p+q)$
$=(m+n)(p+q)$
Question ID: 20100010040
Submit Yours! Copy Question ID and
click hereSolution by: ada
v
Question ID: 20100010040
Submit Yours! Copy Question ID and
click hereVideo by:
e) $vw-5v+3w-15$
a
$(v+3)(w-5)$
Question ID: 20100010050
Something wrong? Copy Question ID and
contact usSubmit yours! Copy Question ID and
click hereQuestion by: ada
Answer by: ada
s
$vw-5v+3w-15$
$=v(w-5)+3(w-5)$
$=(v+3)(w-5)$
Question ID: 20100010050
Submit Yours! Copy Question ID and
click hereSolution by: ada
v
Question ID: 20100010050
Submit Yours! Copy Question ID and
click hereVideo by:
f) $gh-g+10h-10$
a
$(g+10)(h-1)$
Question ID: 20100010060
Something wrong? Copy Question ID and
contact usSubmit yours! Copy Question ID and
click hereQuestion by: ada
Answer by: ada
s
$gh-g+10h-10$
$=g(h-1)+10(h-1)$
$=(g+10)(h-1)$
Question ID: 20100010060
Submit Yours! Copy Question ID and
click hereSolution by: ada
v
Question ID: 20100010060
Submit Yours! Copy Question ID and
click hereVideo by:
g) $xy+5x-2y-10$
a
$(x-2)(y+5)$
Question ID: 20100010070
Something wrong? Copy Question ID and
contact usSubmit yours! Copy Question ID and
click hereQuestion by: ada
Answer by: ada
s
$xy+5x-2y-10$
$=x(y+5)-2(y+5)$
$=(x-2)(y+5)$
Question ID: 20100010070
Submit Yours! Copy Question ID and
click hereSolution by: ada
v
Question ID: 20100010070
Submit Yours! Copy Question ID and
click hereVideo by:
h) $cd+2c-7d-14$
a
$(c-7)(d+2)$
Question ID: 20100010080
Something wrong? Copy Question ID and
contact usSubmit yours! Copy Question ID and
click hereQuestion by: ada
Answer by: ada
s
$cd+2c-7d-14$
$=c(d+2)-7(d+2)$
$=(c-7)(d+2)$
Question ID: 20100010080
Submit Yours! Copy Question ID and
click hereSolution by: ada
v
Question ID: 20100010080
Submit Yours! Copy Question ID and
click hereVideo by:
i) $xy-5x-3y+15$
a
$(x-3)(y-5)$
Question ID: 20100010090
Something wrong? Copy Question ID and
contact usSubmit yours! Copy Question ID and
click hereQuestion by: ada
Answer by: ada
s
$xy-5x-3y+15$
$=x(y-5)-3(y-5)$
$=(x-3)(y-5)$
Question ID: 20100010090
Submit Yours! Copy Question ID and
click hereSolution by: ada
v
Question ID: 20100010090
Submit Yours! Copy Question ID and
click hereVideo by:
j) $xy-x-y+1$
a
$(x-1)(y-1)$
Question ID: 20100010100
Something wrong? Copy Question ID and
contact usSubmit yours! Copy Question ID and
click hereQuestion by: ada
Answer by: ada
s
$xy-x-y+1$
$=x(y-1)-(y-1)$
$=(x-1)(y-1)$
Question ID: 20100010100
Submit Yours! Copy Question ID and
click hereSolution by: ada
v
Question ID: 20100010100
Submit Yours! Copy Question ID and
click hereVideo by:
k) $ac-2ad-bc+2bd$
a
$(a-b)(c-2d)$
Question ID: 20100010110
Something wrong? Copy Question ID and
contact usSubmit yours! Copy Question ID and
click hereQuestion by: ada
Answer by: ada
s
$ac-2ad-bc+2bd$
$=a(c-2d)-b(c-2d)$
$=(a-b)(c-2d)$
Question ID: 20100010110
Submit Yours! Copy Question ID and
click hereSolution by: ada
v
Question ID: 20100010110
Submit Yours! Copy Question ID and
click hereVideo by:
l) $x^2+4x+2x+8$
a
$(x+2)(x+4)$
Question ID: 20100010120
Something wrong? Copy Question ID and
contact usSubmit yours! Copy Question ID and
click hereQuestion by: ada
Answer by: ada
s
$x^2+4x+2x+8$
$=x(x+4)+2(x+4)$
$=(x+2)(x+4)$
Question ID: 20100010120
Submit Yours! Copy Question ID and
click hereSolution by: ada
v
Question ID: 20100010120
Submit Yours! Copy Question ID and
click hereVideo by:
Question 2
Fully factorise
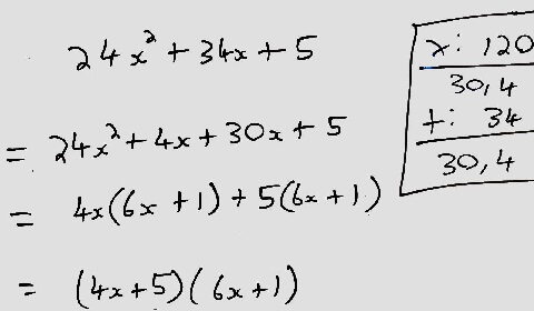
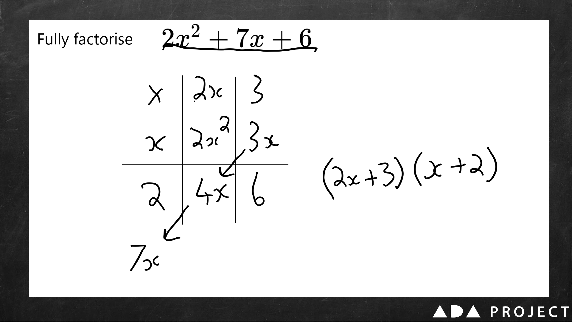
a) $2x^2+7x+6$
a
$(2x+3)(x+2)$
Question ID: 20100020010
Something wrong? Copy Question ID and
contact usSubmit yours! Copy Question ID and
click hereQuestion by: ada
Answer by: ada
s
or
Question ID: 20100020010
Submit Yours! Copy Question ID and
click hereSolution by: ada
v
Question ID: 20100020010
Submit Yours! Copy Question ID and
click hereVideo by: ada
b) $2x^2+7x+5$
a
$(2x+5)(x+1)$
Question ID: 20100020020
Something wrong? Copy Question ID and
contact usSubmit yours! Copy Question ID and
click hereQuestion by: ada
Answer by: ada
s
Question ID: 20100020020
Submit Yours! Copy Question ID and
click hereSolution by:
v
Question ID: 20100020020
Submit Yours! Copy Question ID and
click hereVideo by:
c) $3x^2+8x+4$
a
$(3x+2)(x+2)$
Question ID: 20100020030
Something wrong? Copy Question ID and
contact usSubmit yours! Copy Question ID and
click hereQuestion by: ada
Answer by: ada
s
Question ID: 20100020030
Submit Yours! Copy Question ID and
click hereSolution by:
v
Question ID: 20100020030
Submit Yours! Copy Question ID and
click hereVideo by:
d) $5x^2+27x+10$
a
$(5x+2)(x+5)$
Question ID: 20100020040
Something wrong? Copy Question ID and
contact usSubmit yours! Copy Question ID and
click hereQuestion by: ada
Answer by: ada
s
Question ID: 20100020040
Submit Yours! Copy Question ID and
click hereSolution by:
v
Question ID: 20100020040
Submit Yours! Copy Question ID and
click hereVideo by:
e) $5x^2+8x+3$
a
$(5x+3)(x+1)$
Question ID: 20100020050
Something wrong? Copy Question ID and
contact usSubmit yours! Copy Question ID and
click hereQuestion by: ada
Answer by: ada
s
Question ID: 20100020050
Submit Yours! Copy Question ID and
click hereSolution by:
v
Question ID: 20100020050
Submit Yours! Copy Question ID and
click hereVideo by:
f) $7x^2+22x+3$
a
$(7x+1)(x+3)$
Question ID: 20100020060
Something wrong? Copy Question ID and
contact usSubmit yours! Copy Question ID and
click hereQuestion by: ada
Answer by: ada
s
Question ID: 20100020060
Submit Yours! Copy Question ID and
click hereSolution by:
v
Question ID: 20100020060
Submit Yours! Copy Question ID and
click hereVideo by:
g) $4x^2+23x+15$
a
$(4x+3)(x+5)$
Question ID: 20100020070
Something wrong? Copy Question ID and
contact usSubmit yours! Copy Question ID and
click hereQuestion by: ada
Answer by: ada
s
Question ID: 20100020070
Submit Yours! Copy Question ID and
click hereSolution by:
v
Question ID: 20100020070
Submit Yours! Copy Question ID and
click hereVideo by:
h) $6x^2+43x+7$
a
$(6x+1)(x+7)$
Question ID: 20100020080
Something wrong? Copy Question ID and
contact usSubmit yours! Copy Question ID and
click hereQuestion by: ada
Answer by: ada
s
Question ID: 20100020080
Submit Yours! Copy Question ID and
click hereSolution by:
v
Question ID: 20100020080
Submit Yours! Copy Question ID and
click hereVideo by:
i) $8x^2+27x+9$
a
$(8x+3)(x+3)$
Question ID: 20100020090
Something wrong? Copy Question ID and
contact usSubmit yours! Copy Question ID and
click hereQuestion by: ada
Answer by: ada
s
Question ID: 20100020090
Submit Yours! Copy Question ID and
click hereSolution by:
v
Question ID: 20100020090
Submit Yours! Copy Question ID and
click hereVideo by:
j) $10x^2+51x+5$
a
$(10x+1)(x+5)$
Question ID: 20100020100
Something wrong? Copy Question ID and
contact usSubmit yours! Copy Question ID and
click hereQuestion by: ada
Answer by: ada
s
Question ID: 20100020100
Submit Yours! Copy Question ID and
click hereSolution by:
v
Question ID: 20100020100
Submit Yours! Copy Question ID and
click hereVideo by:
k) *$12x^2+115x+63$
a
$(12x+7)(x+9)$
Question ID: 20100020110
Something wrong? Copy Question ID and
contact usSubmit yours! Copy Question ID and
click hereQuestion by: ada
Answer by: ada
s
Question ID: 20100020110
Submit Yours! Copy Question ID and
click hereSolution by:
v
Question ID: 20100020110
Submit Yours! Copy Question ID and
click hereVideo by:
l) *$12x^2+155x+132$
a
$(12x+11)(x+12)$
Question ID: 20100020120
Something wrong? Copy Question ID and
contact usSubmit yours! Copy Question ID and
click hereQuestion by: ada
Answer by: ada
s
Question ID: 20100020120
Submit Yours! Copy Question ID and
click hereSolution by:
v
Question ID: 20100020120
Submit Yours! Copy Question ID and
click hereVideo by:
Question 3
Fully factorise
a) $2x^2-9x+9$
a
$(2x-3)(x-3)$
Question ID: 20100030010
Something wrong? Copy Question ID and
contact usSubmit yours! Copy Question ID and
click hereQuestion by: ada
Answer by: ada
s
Question ID: 20100030010
Submit Yours! Copy Question ID and
click hereSolution by:
v
Question ID: 20100030010
Submit Yours! Copy Question ID and
click hereVideo by:
b) $2x^2-7x+5$
a
$(2x-5)(x-1)$
Question ID: 20100030020
Something wrong? Copy Question ID and
contact usSubmit yours! Copy Question ID and
click hereQuestion by: ada
Answer by: ada
s
Question ID: 20100030020
Submit Yours! Copy Question ID and
click hereSolution by:
v
Question ID: 20100030020
Submit Yours! Copy Question ID and
click hereVideo by:
c) $3x^2-17x+10$
a
$(3x-2)(x-5)$
Question ID: 20100030030
Something wrong? Copy Question ID and
contact usSubmit yours! Copy Question ID and
click hereQuestion by: ada
Answer by: ada
s
Question ID: 20100030030
Submit Yours! Copy Question ID and
click hereSolution by:
v
Question ID: 20100030030
Submit Yours! Copy Question ID and
click hereVideo by:
d) $7x^2-8x+1$
a
$(7x-1)(x-1)$
Question ID: 20100030040
Something wrong? Copy Question ID and
contact usSubmit yours! Copy Question ID and
click hereQuestion by: ada
Answer by: ada
s
Question ID: 20100030040
Submit Yours! Copy Question ID and
click hereSolution by:
v
Question ID: 20100030040
Submit Yours! Copy Question ID and
click hereVideo by:
e) $11x^2-35x+6$
a
$(11x-2)(x-3)$
Question ID: 20100030050
Something wrong? Copy Question ID and
contact usSubmit yours! Copy Question ID and
click hereQuestion by: ada
Answer by: ada
s
Question ID: 20100030050
Submit Yours! Copy Question ID and
click hereSolution by:
v
Question ID: 20100030050
Submit Yours! Copy Question ID and
click hereVideo by:
f) $4x^2-9x+2$
a
$(4x-1)(x-2)$
Question ID: 20100030060
Something wrong? Copy Question ID and
contact usSubmit yours! Copy Question ID and
click hereQuestion by: ada
Answer by: ada
s
Question ID: 20100030060
Submit Yours! Copy Question ID and
click hereSolution by:
v
Question ID: 20100030060
Submit Yours! Copy Question ID and
click hereVideo by:
g) $8x^2-35x+12$
a
$(8x-3)(x-4)$
Question ID: 20100030070
Something wrong? Copy Question ID and
contact usSubmit yours! Copy Question ID and
click hereQuestion by: ada
Answer by: ada
s
Question ID: 20100030070
Submit Yours! Copy Question ID and
click hereSolution by:
v
Question ID: 20100030070
Submit Yours! Copy Question ID and
click hereVideo by:
h) $10x^2-82x+16$
a
$2(5x-1)(x-8)$
Question ID: 20100030080
Something wrong? Copy Question ID and
contact usSubmit yours! Copy Question ID and
click hereQuestion by: ada
Answer by: ada
s
Question ID: 20100030080
Submit Yours! Copy Question ID and
click hereSolution by:
v
Question ID: 20100030080
Submit Yours! Copy Question ID and
click hereVideo by:
i) $9x^2-91x+10$
a
$(9x-1)(x-10)$
Question ID: 20100030090
Something wrong? Copy Question ID and
contact usSubmit yours! Copy Question ID and
click hereQuestion by: ada
Answer by: ada
s
Question ID: 20100030090
Submit Yours! Copy Question ID and
click hereSolution by:
v
Question ID: 20100030090
Submit Yours! Copy Question ID and
click hereVideo by:
j) *$6x^2-31x+28$
a
$(6x-7)(x-4)$
Question ID: 20100030100
Something wrong? Copy Question ID and
contact usSubmit yours! Copy Question ID and
click hereQuestion by: ada
Answer by: ada
s
Question ID: 20100030100
Submit Yours! Copy Question ID and
click hereSolution by:
v
Question ID: 20100030100
Submit Yours! Copy Question ID and
click hereVideo by:
k) *$12x^2-53x+20$
a
$(12x-5)(x-4)$
Question ID: 20100030110
Something wrong? Copy Question ID and
contact usSubmit yours! Copy Question ID and
click hereQuestion by: ada
Answer by: ada
s
Question ID: 20100030110
Submit Yours! Copy Question ID and
click hereSolution by:
v
Question ID: 20100030110
Submit Yours! Copy Question ID and
click hereVideo by:
l) *$12x^2-103x+56$
a
$(12x-7)(x-8)$
Question ID: 20100030120
Something wrong? Copy Question ID and
contact usSubmit yours! Copy Question ID and
click hereQuestion by: ada
Answer by: ada
s
Question ID: 20100030120
Submit Yours! Copy Question ID and
click hereSolution by:
v
Question ID: 20100030120
Submit Yours! Copy Question ID and
click hereVideo by:
Question 4
Fully factorise
a) $2x^2-x-3$
a
$(2x-3)(x+1)$
Question ID: 20100040010
Something wrong? Copy Question ID and
contact usSubmit yours! Copy Question ID and
click hereQuestion by: ada
Answer by: ada
s
Question ID: 20100040010
Submit Yours! Copy Question ID and
click hereSolution by:
v
Question ID: 20100040010
Submit Yours! Copy Question ID and
click hereVideo by:
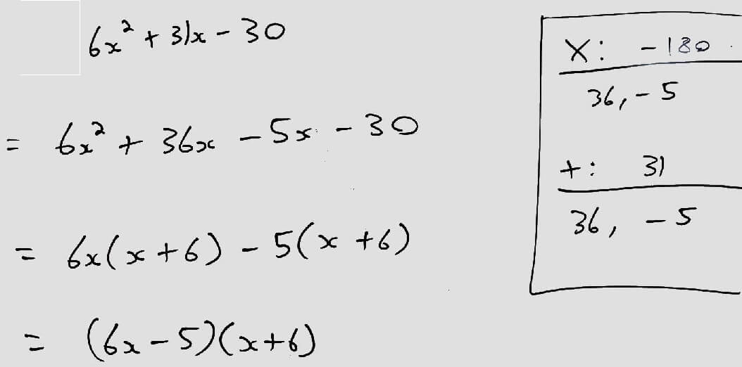
b) $3x^2+13x-10$
a
$(3x-2)(x+5)$
Question ID: 20100040020
Something wrong? Copy Question ID and
contact usSubmit yours! Copy Question ID and
click hereQuestion by: ada
Answer by: ada
s
Question ID: 20100040020
Submit Yours! Copy Question ID and
click hereSolution by:
v
Question ID: 20100040020
Submit Yours! Copy Question ID and
click hereVideo by:
c) $5x^2-4x-1$
a
$(5x+1)(x-1)$
Question ID: 20100040030
Something wrong? Copy Question ID and
contact usSubmit yours! Copy Question ID and
click hereQuestion by: ada
Answer by: ada
s
Question ID: 20100040030
Submit Yours! Copy Question ID and
click hereSolution by:
v
Question ID: 20100040030
Submit Yours! Copy Question ID and
click hereVideo by:
d) $4x^2+19x-5$
a
$(4x-1)(x+5)$
Question ID: 20100040040
Something wrong? Copy Question ID and
contact usSubmit yours! Copy Question ID and
click hereQuestion by: ada
Answer by: ada
s
Question ID: 20100040040
Submit Yours! Copy Question ID and
click hereSolution by:
v
Question ID: 20100040040
Submit Yours! Copy Question ID and
click hereVideo by:
e) $3x^2+x-14$
a
$(3x+7)(x-2)$
Question ID: 20100040050
Something wrong? Copy Question ID and
contact usSubmit yours! Copy Question ID and
click hereQuestion by: ada
Answer by: ada
s
Question ID: 20100040050
Submit Yours! Copy Question ID and
click hereSolution by:
v
Question ID: 20100040050
Submit Yours! Copy Question ID and
click hereVideo by:
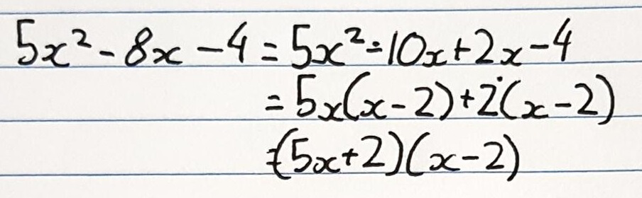
f) $5x^2-8x-4$
a
$(5x+2)(x-2)$
Question ID: 20100040060
Something wrong? Copy Question ID and
contact usSubmit yours! Copy Question ID and
click hereQuestion by: ada
Answer by: ada
s
Question ID: 20100040060
Submit Yours! Copy Question ID and
click hereSolution by: Henry
v
Question ID: 20100040060
Submit Yours! Copy Question ID and
click hereVideo by:
g) $6x^2+31x-30$
a
$(6x-5)(x+6)$
Question ID: 20100040070
Something wrong? Copy Question ID and
contact usSubmit yours! Copy Question ID and
click hereQuestion by: ada
Answer by: ada
s
Question ID: 20100040070
Submit Yours! Copy Question ID and
click hereSolution by: ada
v
Question ID: 20100040070
Submit Yours! Copy Question ID and
click hereVideo by:
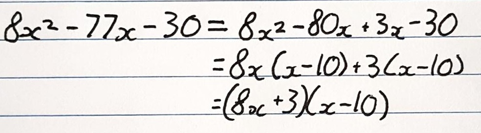
h) $8x^2-77x-30$
a
$(8x+3)(x-10)$
Question ID: 20100040080
Something wrong? Copy Question ID and
contact usSubmit yours! Copy Question ID and
click hereQuestion by: ada
Answer by: ada
s
Question ID: 20100040080
Submit Yours! Copy Question ID and
click hereSolution by: Henry
v
Question ID: 20100040080
Submit Yours! Copy Question ID and
click hereVideo by:
i) $5x^2+14x-24$
a
$(5x-6)(x+4)$
Question ID: 20100040090
Something wrong? Copy Question ID and
contact usSubmit yours! Copy Question ID and
click hereQuestion by: ada
Answer by: ada
s
Question ID: 20100040090
Submit Yours! Copy Question ID and
click hereSolution by:
v
Question ID: 20100040090
Submit Yours! Copy Question ID and
click hereVideo by:
j) *$12x^2-139x-60$
a
$(12x+5)(x-12)$
Question ID: 20100040100
Something wrong? Copy Question ID and
contact usSubmit yours! Copy Question ID and
click hereQuestion by: ada
Answer by: ada
s
Question ID: 20100040100
Submit Yours! Copy Question ID and
click hereSolution by:
v
Question ID: 20100040100
Submit Yours! Copy Question ID and
click hereVideo by:
k) *$16x^2+55x-36$
a
$(16x-9)(x+4)$
Question ID: 20100040110
Something wrong? Copy Question ID and
contact usSubmit yours! Copy Question ID and
click hereQuestion by: ada
Answer by: ada
s
Question ID: 20100040110
Submit Yours! Copy Question ID and
click hereSolution by:
v
Question ID: 20100040110
Submit Yours! Copy Question ID and
click hereVideo by:
l) *$20x^2-193x-70$
a
$(20x+7)(x-10)$
Question ID: 20100040120
Something wrong? Copy Question ID and
contact usSubmit yours! Copy Question ID and
click hereQuestion by: ada
Answer by: ada
s
Question ID: 20100040120
Submit Yours! Copy Question ID and
click hereSolution by:
v
Question ID: 20100040120
Submit Yours! Copy Question ID and
click hereVideo by:
Question 5
Fully factorise
a) $6x^2+13x+6$
a
$(2x+3)(3x+2)$
Question ID: 20100050010
Something wrong? Copy Question ID and
contact usSubmit yours! Copy Question ID and
click hereQuestion by: ada
Answer by: ada
s
Question ID: 20100050010
Submit Yours! Copy Question ID and
click hereSolution by:
v
Question ID: 20100050010
Submit Yours! Copy Question ID and
click hereVideo by:
b) $15x^2+11x+2$
a
$(5x+2)(3x+1)$
Question ID: 20100050020
Something wrong? Copy Question ID and
contact usSubmit yours! Copy Question ID and
click hereQuestion by: ada
Answer by: ada
s
Question ID: 20100050020
Submit Yours! Copy Question ID and
click hereSolution by:
v
Question ID: 20100050020
Submit Yours! Copy Question ID and
click hereVideo by:
c) $4x^2+20x+21$
a
$(2x+7)(2x+3)$
Question ID: 20100050030
Something wrong? Copy Question ID and
contact usSubmit yours! Copy Question ID and
click hereQuestion by: ada
Answer by: ada
s
Question ID: 20100050030
Submit Yours! Copy Question ID and
click hereSolution by:
v
Question ID: 20100050030
Submit Yours! Copy Question ID and
click hereVideo by:
d) $14x^2+9x+1$
a
$(7x+1)(2x+1)$
Question ID: 20100050040
Something wrong? Copy Question ID and
contact usSubmit yours! Copy Question ID and
click hereQuestion by: ada
Answer by: ada
s
Question ID: 20100050040
Submit Yours! Copy Question ID and
click hereSolution by:
v
Question ID: 20100050040
Submit Yours! Copy Question ID and
click hereVideo by:
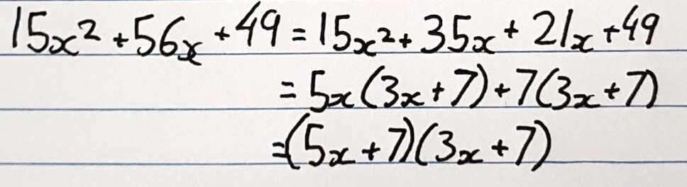
e) $15x^2+56x+49$
a
$(3x+7)(5x+7)$
Question ID: 20100050050
Something wrong? Copy Question ID and
contact usSubmit yours! Copy Question ID and
click hereQuestion by: ada
Answer by: ada
s
Question ID: 20100050050
Submit Yours! Copy Question ID and
click hereSolution by: Henry
v
Question ID: 20100050050
Submit Yours! Copy Question ID and
click hereVideo by:
f) $12x^2+23x+5$
a
$(4x+1)(3x+5)$
Question ID: 20100050060
Something wrong? Copy Question ID and
contact usSubmit yours! Copy Question ID and
click hereQuestion by: ada
Answer by: ada
s
Question ID: 20100050060
Submit Yours! Copy Question ID and
click hereSolution by:
v
Question ID: 20100050060
Submit Yours! Copy Question ID and
click hereVideo by:
g) $30x^2+22x+4$
a
$2(5x+2)(3x+1)$
Question ID: 20100050070
Something wrong? Copy Question ID and
contact usSubmit yours! Copy Question ID and
click hereQuestion by: ada
Answer by: ada
s
Question ID: 20100050070
Submit Yours! Copy Question ID and
click hereSolution by: Henry
v
Question ID: 20100050070
Submit Yours! Copy Question ID and
click hereVideo by:
h) $24x^2+34x+5$
a
$(4x+5)(6x+1)$
Question ID: 20100050080
Something wrong? Copy Question ID and
contact usSubmit yours! Copy Question ID and
click hereQuestion by: ada
Answer by: ada
s
Question ID: 20100050080
Submit Yours! Copy Question ID and
click hereSolution by: ada
v
Question ID: 20100050080
Submit Yours! Copy Question ID and
click hereVideo by:
i) *$48x^2+74x+21$
a
$(8x+3)(6x+7)$
Question ID: 20100050090
Something wrong? Copy Question ID and
contact usSubmit yours! Copy Question ID and
click hereQuestion by: ada
Answer by: ada
s
Question ID: 20100050090
Submit Yours! Copy Question ID and
click hereSolution by:
v
Question ID: 20100050090
Submit Yours! Copy Question ID and
click hereVideo by:
j) *$60x^2+104x+45$
a
$(6x+5)(10x+9)$
Question ID: 20100050100
Something wrong? Copy Question ID and
contact usSubmit yours! Copy Question ID and
click hereQuestion by: ada
Answer by: ada
s
Question ID: 20100050100
Submit Yours! Copy Question ID and
click hereSolution by:
v
Question ID: 20100050100
Submit Yours! Copy Question ID and
click hereVideo by:
k) *$72x^2+138x+65$
a
$(12x+13)(6x+5)$
Question ID: 20100050110
Something wrong? Copy Question ID and
contact usSubmit yours! Copy Question ID and
click hereQuestion by: ada
Answer by: ada
s
Question ID: 20100050110
Submit Yours! Copy Question ID and
click hereSolution by:
v
Question ID: 20100050110
Submit Yours! Copy Question ID and
click hereVideo by:
l) *$200x^2+450x+63$
a
$(20x+3)(10x+21)$
Question ID: 20100050120
Something wrong? Copy Question ID and
contact usSubmit yours! Copy Question ID and
click hereQuestion by: ada
Answer by: ada
s
Question ID: 20100050120
Submit Yours! Copy Question ID and
click hereSolution by:
v
Question ID: 20100050120
Submit Yours! Copy Question ID and
click hereVideo by:
Question 6
Fully factorise
a) $6x^2-13x+5$
a
$(2x-1)(3x-5)$
Question ID: 20100060010
Something wrong? Copy Question ID and
contact usSubmit yours! Copy Question ID and
click hereQuestion by: ada
Answer by: ada
s
Question ID: 20100060010
Submit Yours! Copy Question ID and
click hereSolution by:
v
Question ID: 20100060010
Submit Yours! Copy Question ID and
click hereVideo by:
b) $10x^2-9x+2$
a
$(5x-2)(2x-1)$
Question ID: 20100060020
Something wrong? Copy Question ID and
contact usSubmit yours! Copy Question ID and
click hereQuestion by: ada
Answer by: ada
s
Question ID: 20100060020
Submit Yours! Copy Question ID and
click hereSolution by:
v
Question ID: 20100060020
Submit Yours! Copy Question ID and
click hereVideo by:
c) $21x^2-17x+2$
a
$(7x-1)(3x-2)$
Question ID: 20100060030
Something wrong? Copy Question ID and
contact usSubmit yours! Copy Question ID and
click hereQuestion by: ada
Answer by: ada
s
Question ID: 20100060030
Submit Yours! Copy Question ID and
click hereSolution by:
v
Question ID: 20100060030
Submit Yours! Copy Question ID and
click hereVideo by:
d) $2x^2-7x+5$
a
$(2x-5)(x-1)$
Question ID: 20100060040
Something wrong? Copy Question ID and
contact usSubmit yours! Copy Question ID and
click hereQuestion by: ada
Answer by: ada
s
Question ID: 20100060040
Submit Yours! Copy Question ID and
click hereSolution by:
v
Question ID: 20100060040
Submit Yours! Copy Question ID and
click hereVideo by:
e) $2x^2-7x+5$
a
$(7x-2)(7x-1)$
Question ID: 20100060050
Something wrong? Copy Question ID and
contact usSubmit yours! Copy Question ID and
click hereQuestion by: ada
Answer by: ada
s
Question ID: 20100060050
Submit Yours! Copy Question ID and
click hereSolution by:
v
Question ID: 20100060050
Submit Yours! Copy Question ID and
click hereVideo by:
f) $7x^2-15x+2$
a
$(x-2)(7x-1)$
Question ID: 20100060060
Something wrong? Copy Question ID and
contact usSubmit yours! Copy Question ID and
click hereQuestion by: ada
Answer by: ada
s
Question ID: 20100060060
Submit Yours! Copy Question ID and
click hereSolution by:
v
Question ID: 20100060060
Submit Yours! Copy Question ID and
click hereVideo by:
g) $15x^2-26x+8$
a
$(3x-4)(5x-2)$
Question ID: 20100060070
Something wrong? Copy Question ID and
contact usSubmit yours! Copy Question ID and
click hereQuestion by: ada
Answer by: ada
s
Question ID: 20100060070
Submit Yours! Copy Question ID and
click hereSolution by:
v
Question ID: 20100060070
Submit Yours! Copy Question ID and
click hereVideo by:
h) *$32x^2-28x+5$
a
$(8x-5)(4x-1)$
Question ID: 20100060080
Something wrong? Copy Question ID and
contact usSubmit yours! Copy Question ID and
click hereQuestion by: ada
Answer by: ada
s
Question ID: 20100060080
Submit Yours! Copy Question ID and
click hereSolution by:
v
Question ID: 20100060080
Submit Yours! Copy Question ID and
click hereVideo by:
i) *$72x^2-42x+3$
a
$3(12x-1)(2x-1)$
Question ID: 20100060090
Something wrong? Copy Question ID and
contact usSubmit yours! Copy Question ID and
click hereQuestion by: ada
Answer by: ada
s
Question ID: 20100060090
Submit Yours! Copy Question ID and
click hereSolution by:
v
Question ID: 20100060090
Submit Yours! Copy Question ID and
click hereVideo by:
j) *$72x^2-43x+6$
a
$(9x-2)(8x-3)$
Question ID: 20100060100
Something wrong? Copy Question ID and
contact usSubmit yours! Copy Question ID and
click hereQuestion by: ada
Answer by: ada
s
Question ID: 20100060100
Submit Yours! Copy Question ID and
click hereSolution by:
v
Question ID: 20100060100
Submit Yours! Copy Question ID and
click hereVideo by:
k) *$15x^2-32x+16$
a
$(3x-4)(5x-4)$
Question ID: 20100060110
Something wrong? Copy Question ID and
contact usSubmit yours! Copy Question ID and
click hereQuestion by: ada
Answer by: ada
s
Question ID: 20100060110
Submit Yours! Copy Question ID and
click hereSolution by:
v
Question ID: 20100060110
Submit Yours! Copy Question ID and
click hereVideo by:
l) *$24x^2-39x+18$
a
$(4x-3)(5x-6)$
Question ID: 20100060120
Something wrong? Copy Question ID and
contact usSubmit yours! Copy Question ID and
click hereQuestion by: ada
Answer by: ada
s
Question ID: 20100060120
Submit Yours! Copy Question ID and
click hereSolution by:
v
Question ID: 20100060120
Submit Yours! Copy Question ID and
click hereVideo by:
Question 7
Fully factorise
a) $6x^2+x-2$
a
$(2x-1)(3x+2)$
Question ID: 20100070010
Something wrong? Copy Question ID and
contact usSubmit yours! Copy Question ID and
click hereQuestion by: ada
Answer by: ada
s
Question ID: 20100070010
Submit Yours! Copy Question ID and
click hereSolution by:
v
Question ID: 20100070010
Submit Yours! Copy Question ID and
click hereVideo by:
b) $6x^2-x-12$
a
$(3x+4)(2x-3)$
Question ID: 20100070020
Something wrong? Copy Question ID and
contact usSubmit yours! Copy Question ID and
click hereQuestion by: ada
Answer by: ada
s
Question ID: 20100070020
Submit Yours! Copy Question ID and
click hereSolution by:
v
Question ID: 20100070020
Submit Yours! Copy Question ID and
click hereVideo by:
c) $6x^2-13x-5$
a
$(2x-5)(3x+1)$
Question ID: 20100070030
Something wrong? Copy Question ID and
contact usSubmit yours! Copy Question ID and
click hereQuestion by: ada
Answer by: ada
s
Question ID: 20100070030
Submit Yours! Copy Question ID and
click hereSolution by:
v
Question ID: 20100070030
Submit Yours! Copy Question ID and
click hereVideo by:
d) $15x^2+13x-6$
a
$(3x-1)(5x+6)$
Question ID: 20100070040
Something wrong? Copy Question ID and
contact usSubmit yours! Copy Question ID and
click hereQuestion by: ada
Answer by: ada
s
Question ID: 20100070040
Submit Yours! Copy Question ID and
click hereSolution by:
v
Question ID: 20100070040
Submit Yours! Copy Question ID and
click hereVideo by:
e) $10x^2+4x-6$
a
$2(5x-3)(x+1)$
Question ID: 20100070050
Something wrong? Copy Question ID and
contact usSubmit yours! Copy Question ID and
click hereQuestion by: ada
Answer by: ada
s
Question ID: 20100070050
Submit Yours! Copy Question ID and
click hereSolution by:
v
Question ID: 20100070050
Submit Yours! Copy Question ID and
click hereVideo by:
f) $11x^2-10x-1$
a
$(11x+1)(x-1)$
Question ID: 20100070060
Something wrong? Copy Question ID and
contact usSubmit yours! Copy Question ID and
click hereQuestion by: ada
Answer by: ada
s
Question ID: 20100070060
Submit Yours! Copy Question ID and
click hereSolution by:
v
Question ID: 20100070060
Submit Yours! Copy Question ID and
click hereVideo by:
g) $8x^2+2x-3$
a
$(4x+3)(2x-1)$
Question ID: 20100070070
Something wrong? Copy Question ID and
contact usSubmit yours! Copy Question ID and
click hereQuestion by: ada
Answer by: ada
s
Question ID: 20100070070
Submit Yours! Copy Question ID and
click hereSolution by:
v
Question ID: 20100070070
Submit Yours! Copy Question ID and
click hereVideo by:
h) $24x^2+26x-5$
a
$(6x-1)(4x+5)$
Question ID: 20100070080
Something wrong? Copy Question ID and
contact usSubmit yours! Copy Question ID and
click hereQuestion by: ada
Answer by: ada
s
Question ID: 20100070080
Submit Yours! Copy Question ID and
click hereSolution by:
v
Question ID: 20100070080
Submit Yours! Copy Question ID and
click hereVideo by:
i) $72x^2+6x-1$
a
$(12x-1)(6x+1)$
Question ID: 20100070090
Something wrong? Copy Question ID and
contact usSubmit yours! Copy Question ID and
click hereQuestion by: ada
Answer by: ada
s
Question ID: 20100070090
Submit Yours! Copy Question ID and
click hereSolution by:
v
Question ID: 20100070090
Submit Yours! Copy Question ID and
click hereVideo by:
j) $12x^2+26x-10$
a
$2(3x-1)(2x+5)$
Question ID: 20100070100
Something wrong? Copy Question ID and
contact usSubmit yours! Copy Question ID and
click hereQuestion by: ada
Answer by: ada
s
Question ID: 20100070100
Submit Yours! Copy Question ID and
click hereSolution by:
v
Question ID: 20100070100
Submit Yours! Copy Question ID and
click hereVideo by:
k) *$38x^2-15x-2$
a
$(19x+2)(2x-1)$
Question ID: 20100070110
Something wrong? Copy Question ID and
contact usSubmit yours! Copy Question ID and
click hereQuestion by: ada
Answer by: ada
s
Question ID: 20100070110
Submit Yours! Copy Question ID and
click hereSolution by:
v
Question ID: 20100070110
Submit Yours! Copy Question ID and
click hereVideo by:
l) *$96x^2-20x-25$
a
$(12x+5)(8x-5)$
Question ID: 20100070120
Something wrong? Copy Question ID and
contact usSubmit yours! Copy Question ID and
click hereQuestion by: ada
Answer by: ada
s
Question ID: 20100070120
Submit Yours! Copy Question ID and
click hereSolution by:
v
Question ID: 20100070120
Submit Yours! Copy Question ID and
click hereVideo by:
Question 8
Find a common factor before factorising the quadratic
a) $30x^2+28x+6$
a
$2(3x+1)(5x+3)$
Question ID: 20100080010
Something wrong? Copy Question ID and
contact usSubmit yours! Copy Question ID and
click hereQuestion by: ada
Answer by: ada
s
Question ID: 20100080010
Submit Yours! Copy Question ID and
click hereSolution by:
v
Question ID: 20100080010
Submit Yours! Copy Question ID and
click hereVideo by:
b) $10x^2-54x+20$
a
$2(5x-2)(x-5)$
Question ID: 20100080020
Something wrong? Copy Question ID and
contact usSubmit yours! Copy Question ID and
click hereQuestion by: ada
Answer by: ada
s
Question ID: 20100080020
Submit Yours! Copy Question ID and
click hereSolution by:
v
Question ID: 20100080020
Submit Yours! Copy Question ID and
click hereVideo by:
c) $24x^2-54x-15$
a
$3(4x+1)(2x-5)$
Question ID: 20100080030
Something wrong? Copy Question ID and
contact usSubmit yours! Copy Question ID and
click hereQuestion by: ada
Answer by: ada
s
Question ID: 20100080030
Submit Yours! Copy Question ID and
click hereSolution by:
v
Question ID: 20100080030
Submit Yours! Copy Question ID and
click hereVideo by:
d) $96x^2+136x-40$
a
$8(3x+5)(4x-1)$
Question ID: 20100080040
Something wrong? Copy Question ID and
contact usSubmit yours! Copy Question ID and
click hereQuestion by: ada
Answer by: ada
s
Question ID: 20100080040
Submit Yours! Copy Question ID and
click hereSolution by:
v
Question ID: 20100080040
Submit Yours! Copy Question ID and
click hereVideo by:
e) $-6x^2-11x+7$
a
$-(2x-1)(3x+7)$
Question ID: 20100080050
Something wrong? Copy Question ID and
contact usSubmit yours! Copy Question ID and
click hereQuestion by: ada
Answer by: ada
s
Question ID: 20100080050
Submit Yours! Copy Question ID and
click hereSolution by:
v
Question ID: 20100080050
Submit Yours! Copy Question ID and
click hereVideo by:
f) $-12x^2-4x+5$
a
$-(6x+5)(2x-1)$
Question ID: 20100080060
Something wrong? Copy Question ID and
contact usSubmit yours! Copy Question ID and
click hereQuestion by: ada
Answer by: ada
s
Question ID: 20100080060
Submit Yours! Copy Question ID and
click hereSolution by:
v
Question ID: 20100080060
Submit Yours! Copy Question ID and
click hereVideo by:
g) $-24x^2+62x-14$
a
$-2(3x-7)(4x-1)$
Question ID: 20100080070
Something wrong? Copy Question ID and
contact usSubmit yours! Copy Question ID and
click hereQuestion by: ada
Answer by: ada
s
Question ID: 20100080070
Submit Yours! Copy Question ID and
click hereSolution by:
v
Question ID: 20100080070
Submit Yours! Copy Question ID and
click hereVideo by:
h) $-128x^2-64x+120$
a
$-8(4x-3)(4x+5)$
Question ID: 20100080080
Something wrong? Copy Question ID and
contact usSubmit yours! Copy Question ID and
click hereQuestion by: ada
Answer by: ada
s
Question ID: 20100080080
Submit Yours! Copy Question ID and
click hereSolution by:
v
Question ID: 20100080080
Submit Yours! Copy Question ID and
click hereVideo by:
Question 9
Fully factorise
a) $8k^2-14k-15$
a
$(4k+3)(2k-5)$
Question ID: 20100090010
Something wrong? Copy Question ID and
contact usSubmit yours! Copy Question ID and
click hereQuestion by: ada
Answer by: ada
s
Question ID: 20100090010
Submit Yours! Copy Question ID and
click hereSolution by:
v
Question ID: 20100090010
Submit Yours! Copy Question ID and
click hereVideo by:
b) $8x^4-14x^2-15$
a
$(4x^2+3)(2x^2-5)$
Question ID: 20100090020
Something wrong? Copy Question ID and
contact usSubmit yours! Copy Question ID and
click hereQuestion by: ada
Answer by: ada
s
Question ID: 20100090020
Submit Yours! Copy Question ID and
click hereSolution by:
v
Question ID: 20100090020
Submit Yours! Copy Question ID and
click hereVideo by:
c) $15y^4+29y^2-14$
a
$(5y^2-2)(3y^2+7)$
Question ID: 20100090030
Something wrong? Copy Question ID and
contact usSubmit yours! Copy Question ID and
click hereQuestion by: ada
Answer by: ada
s
Question ID: 20100090030
Submit Yours! Copy Question ID and
click hereSolution by:
v
Question ID: 20100090030
Submit Yours! Copy Question ID and
click hereVideo by:
d) $72z^6+23z^3-4$
a
$(8z^3-1)(9z^3+4)$
Question ID: 20100090040
Something wrong? Copy Question ID and
contact usSubmit yours! Copy Question ID and
click hereQuestion by: ada
Answer by: ada
s
Question ID: 20100090040
Submit Yours! Copy Question ID and
click hereSolution by:
v
Question ID: 20100090040
Submit Yours! Copy Question ID and
click hereVideo by:
e) $4x^2-3x-\frac92$
a
$\frac12(4x+3)(2x-3)$
Question ID: 20100090050
Something wrong? Copy Question ID and
contact usSubmit yours! Copy Question ID and
click hereQuestion by: ada
Answer by: ada
s
Question ID: 20100090050
Submit Yours! Copy Question ID and
click hereSolution by:
v
Question ID: 20100090050
Submit Yours! Copy Question ID and
click hereVideo by:
f) *$5x^2+\frac{34x}{3}-\frac{16}{3}$
a
$\frac13(5x-2)(3x+8)$
Question ID: 20100090060
Something wrong? Copy Question ID and
contact usSubmit yours! Copy Question ID and
click hereQuestion by: ada
Answer by: ada
s
Question ID: 20100090060
Submit Yours! Copy Question ID and
click hereSolution by:
v
Question ID: 20100090060
Submit Yours! Copy Question ID and
click hereVideo by:
g) *$\frac{12x^3}{5}+\frac{28x^2}{5}-x$
a
$\frac{x}{5}(6x-1)(2x+5)$
Question ID: 20100090070
Something wrong? Copy Question ID and
contact usSubmit yours! Copy Question ID and
click hereQuestion by: ada
Answer by: ada
s
Question ID: 20100090070
Submit Yours! Copy Question ID and
click hereSolution by:
v
Question ID: 20100090070
Submit Yours! Copy Question ID and
click hereVideo by:
h) *$\frac{45x^4}{4}-\frac{41x^3}{2}+4x^2$
a
$\frac{x^2}{4}(9x-2)(5x-8)$
Question ID: 20100090080
Something wrong? Copy Question ID and
contact usSubmit yours! Copy Question ID and
click hereQuestion by: ada
Answer by: ada
s
Question ID: 20100090080
Submit Yours! Copy Question ID and
click hereSolution by:
v
Question ID: 20100090080
Submit Yours! Copy Question ID and
click hereVideo by:
i) *$-14z^5+\frac{2z^4}{3}+\frac{4z^3}{3}$
a
$-\frac{2z^3}{3}(7z+2)(3z-1)$
Question ID: 20100090090
Something wrong? Copy Question ID and
contact usSubmit yours! Copy Question ID and
click hereQuestion by: ada
Answer by: ada
s
Question ID: 20100090090
Submit Yours! Copy Question ID and
click hereSolution by:
v
Question ID: 20100090090
Submit Yours! Copy Question ID and
click hereVideo by:
j) *$-\frac{81a^5b^4}{2}+\frac{261a^5b^2}{8}+\frac{33a^5}{8}$
a
$-\frac{3a^5}{8}(9b^2+1)(12b^2-11)$
Question ID: 20100090100
Something wrong? Copy Question ID and
contact usSubmit yours! Copy Question ID and
click hereQuestion by: ada
Answer by: ada
s
Question ID: 20100090100
Submit Yours! Copy Question ID and
click hereSolution by:
v
Question ID: 20100090100
Submit Yours! Copy Question ID and
click hereVideo by:
Question 1
Factorise the following in pairs
a) $xy+3x+2y+6$
b) $xy+6x+5y+30$
c) $ab+7a+4b+28$
d) $mp+mq+np+nq$
e) $vw-5v+3w-15$
f) $gh-g+10h-10$
g) $xy+5x-2y-10$
h) $cd+2c-7d-14$
i) $xy-5x-3y+15$
j) $xy-x-y+1$
k) $ac-2ad-bc+2bd$
l) $x^2+4x+2x+8$
Question 2
Fully factorise
a) $2x^2+7x+6$
b) $2x^2+7x+5$
c) $3x^2+8x+4$
d) $5x^2+27x+10$
e) $5x^2+8x+3$
f) $7x^2+22x+3$
g) $4x^2+23x+15$
h) $6x^2+43x+7$
i) $8x^2+27x+9$
j) $10x^2+51x+5$
k) *$12x^2+115x+63$
l) *$12x^2+155x+132$
Question 3
Fully factorise
a) $2x^2-9x+9$
b) $2x^2-7x+5$
c) $3x^2-17x+10$
d) $7x^2-8x+1$
e) $11x^2-35x+6$
f) $4x^2-9x+2$
g) $8x^2-35x+12$
h) $10x^2-82x+16$
i) $9x^2-91x+10$
j) *$6x^2-31x+28$
k) *$12x^2-53x+20$
l) *$12x^2-103x+56$
Question 4
Fully factorise
a) $2x^2-x-3$
b) $3x^2+13x-10$
c) $5x^2-4x-1$
d) $4x^2+19x-5$
e) $3x^2+x-14$
f) $5x^2-8x-4$
g) $6x^2+31x-30$
h) $8x^2-77x-30$
i) $5x^2+14x-24$
j) *$12x^2-139x-60$
k) *$16x^2+55x-36$
l) *$20x^2-193x-70$
Question 5
Fully factorise
a) $6x^2+13x+6$
b) $15x^2+11x+2$
c) $4x^2+20x+21$
d) $14x^2+9x+1$
e) $15x^2+56x+49$
f) $12x^2+23x+5$
g) $30x^2+22x+4$
h) $24x^2+34x+5$
i) *$48x^2+74x+21$
j) *$60x^2+104x+45$
k) *$72x^2+138x+65$
l) *$200x^2+450x+63$
Question 6
Fully factorise
a) $6x^2-13x+5$
b) $10x^2-9x+2$
c) $21x^2-17x+2$
d) $2x^2-7x+5$
e) $2x^2-7x+5$
f) $7x^2-15x+2$
g) $15x^2-26x+8$
h) *$32x^2-28x+5$
i) *$72x^2-42x+3$
j) *$72x^2-43x+6$
k) *$15x^2-32x+16$
l) *$24x^2-39x+18$
Question 7
Fully factorise
a) $6x^2+x-2$
b) $6x^2-x-12$
c) $6x^2-13x-5$
d) $15x^2+13x-6$
e) $10x^2+4x-6$
f) $11x^2-10x-1$
g) $8x^2+2x-3$
h) $24x^2+26x-5$
i) $72x^2+6x-1$
j) $12x^2+26x-10$
k) *$38x^2-15x-2$
l) *$96x^2-20x-25$
Question 8
Find a common factor before factorising the quadratic
a) $30x^2+28x+6$
b) $10x^2-54x+20$
c) $24x^2-54x-15$
d) $96x^2+136x-40$
e) $-6x^2-11x+7$
f) $-12x^2-4x+5$
g) $-24x^2+62x-14$
h) $-128x^2-64x+120$
Question 9
Fully factorise
a) $8k^2-14k-15$
b) $8x^4-14x^2-15$
c) $15y^4+29y^2-14$
d) $72z^6+23z^3-4$
e) $4x^2-3x-\frac92$
f) *$5x^2+\frac{34x}{3}-\frac{16}{3}$
g) *$\frac{12x^3}{5}+\frac{28x^2}{5}-x$
h) *$\frac{45x^4}{4}-\frac{41x^3}{2}+4x^2$
i) *$-14z^5+\frac{2z^4}{3}+\frac{4z^3}{3}$
j) *$-\frac{81a^5b^4}{2}+\frac{261a^5b^2}{8}+\frac{33a^5}{8}$
Answers
Question 1
a) $(x+2)(y+3)$
b) $(x+5)(y+6)$
c) $(a+4)(b+7)$
d) $(m+n)(p+q)$
e) $(v+3)(w-5)$
f) $(g+10)(h-1)$
g) $(x-2)(y+5)$
h) $(c-7)(d+2)$
i) $(x-3)(y-5)$
j) $(x-1)(y-1)$
k) $(a-b)(c-2d)$
l) $(x+2)(x+4)$
Question 2
a) $(2x+3)(x+2)$
b) $(2x+5)(x+1)$
c) $(3x+2)(x+2)$
d) $(5x+2)(x+5)$
e) $(5x+3)(x+1)$
f) $(7x+1)(x+3)$
g) $(4x+3)(x+5)$
h) $(6x+1)(x+7)$
i) $(8x+3)(x+3)$
j) $(10x+1)(x+5)$
k) $(12x+7)(x+9)$
l) $(12x+11)(x+12)$
Question 3
a) $(2x-3)(x-3)$
b) $(2x-5)(x-1)$
c) $(3x-2)(x-5)$
d) $(7x-1)(x-1)$
e) $(11x-2)(x-3)$
f) $(4x-1)(x-2)$
g) $(8x-3)(x-4)$
h) $2(5x-1)(x-8)$
i) $(9x-1)(x-10)$
j) $(6x-7)(x-4)$
k) $(12x-5)(x-4)$
l) $(12x-7)(x-8)$
Question 4
a) $(2x-3)(x+1)$
b) $(3x-2)(x+5)$
c) $(5x+1)(x-1)$
d) $(4x-1)(x+5)$
e) $(3x+7)(x-2)$
f) $(5x+2)(x-2)$
g) $(6x-5)(x+6)$
h) $(8x+3)(x-10)$
i) $(5x-6)(x+4)$
j) $(12x+5)(x-12)$
k) $(16x-9)(x+4)$
l) $(20x+7)(x-10)$
Question 5
a) $(2x+3)(3x+2)$
b) $(5x+2)(3x+1)$
c) $(2x+7)(2x+3)$
d) $(7x+1)(2x+1)$
e) $(3x+7)(5x+7)$
f) $(4x+1)(3x+5)$
g) $2(5x+2)(3x+1)$
h) $(4x+5)(6x+1)$
i) $(8x+3)(6x+7)$
j) $(6x+5)(10x+9)$
k) $(12x+13)(6x+5)$
l) $(20x+3)(10x+21)$
Question 6
a) $(2x-1)(3x-5)$
b) $(5x-2)(2x-1)$
c) $(7x-1)(3x-2)$
d) $(2x-5)(x-1)$
e) $(7x-2)(7x-1)$
f) $(x-2)(7x-1)$
g) $(3x-4)(5x-2)$
h) $(8x-5)(4x-1)$
i) $3(12x-1)(2x-1)$
j) $(9x-2)(8x-3)$
k) $(3x-4)(5x-4)$
l) $(4x-3)(5x-6)$
Question 7
a) $(2x-1)(3x+2)$
b) $(3x+4)(2x-3)$
c) $(2x-5)(3x+1)$
d) $(3x-1)(5x+6)$
e) $2(5x-3)(x+1)$
f) $(11x+1)(x-1)$
g) $(4x+3)(2x-1)$
h) $(6x-1)(4x+5)$
i) $(12x-1)(6x+1)$
j) $2(3x-1)(2x+5)$
k) $(19x+2)(2x-1)$
l) $(12x+5)(8x-5)$
Question 8
a) $2(3x+1)(5x+3)$
b) $2(5x-2)(x-5)$
c) $3(4x+1)(2x-5)$
d) $8(3x+5)(4x-1)$
e) $-(2x-1)(3x+7)$
f) $-(6x+5)(2x-1)$
g) $-2(3x-7)(4x-1)$
h) $-8(4x-3)(4x+5)$
Question 9
a) $(4k+3)(2k-5)$
b) $(4x^2+3)(2x^2-5)$
c) $(5y^2-2)(3y^2+7)$
d) $(8z^3-1)(9z^3+4)$
e) $\frac12(4x+3)(2x-3)$
f) $\frac13(5x-2)(3x+8)$
g) $\frac{x}{5}(6x-1)(2x+5)$
h) $\frac{x^2}{4}(9x-2)(5x-8)$
i) $-\frac{2z^3}{3}(7z+2)(3z-1)$
j) $-\frac{3a^5}{8}(9b^2+1)(12b^2-11)$
Question 1
Factorise the following in pairs
a) $xy+3x+2y+6$
b) $xy+6x+5y+30$
c) $ab+7a+4b+28$
d) $mp+mq+np+nq$
e) $vw-5v+3w-15$
f) $gh-g+10h-10$
g) $xy+5x-2y-10$
h) $cd+2c-7d-14$
i) $xy-5x-3y+15$
j) $xy-x-y+1$
k) $ac-2ad-bc+2bd$
l) $x^2+4x+2x+8$
Question 2
Fully factorise
a) $2x^2+7x+6$
b) $2x^2+7x+5$
c) $3x^2+8x+4$
d) $5x^2+27x+10$
e) $5x^2+8x+3$
f) $7x^2+22x+3$
g) $4x^2+23x+15$
h) $6x^2+43x+7$
i) $8x^2+27x+9$
j) $10x^2+51x+5$
k) *$12x^2+115x+63$
l) *$12x^2+155x+132$
Question 3
Fully factorise
a) $2x^2-9x+9$
b) $2x^2-7x+5$
c) $3x^2-17x+10$
d) $7x^2-8x+1$
e) $11x^2-35x+6$
f) $4x^2-9x+2$
g) $8x^2-35x+12$
h) $10x^2-82x+16$
i) $9x^2-91x+10$
j) *$6x^2-31x+28$
k) *$12x^2-53x+20$
l) *$12x^2-103x+56$
Question 4
Fully factorise
a) $2x^2-x-3$
b) $3x^2+13x-10$
c) $5x^2-4x-1$
d) $4x^2+19x-5$
e) $3x^2+x-14$
f) $5x^2-8x-4$
g) $6x^2+31x-30$
h) $8x^2-77x-30$
i) $5x^2+14x-24$
j) *$12x^2-139x-60$
k) *$16x^2+55x-36$
l) *$20x^2-193x-70$
Question 5
Fully factorise
a) $6x^2+13x+6$
b) $15x^2+11x+2$
c) $4x^2+20x+21$
d) $14x^2+9x+1$
e) $15x^2+56x+49$
f) $12x^2+23x+5$
g) $30x^2+22x+4$
h) $24x^2+34x+5$
i) *$48x^2+74x+21$
j) *$60x^2+104x+45$
k) *$72x^2+138x+65$
l) *$200x^2+450x+63$
Question 6
Fully factorise
a) $6x^2-13x+5$
b) $10x^2-9x+2$
c) $21x^2-17x+2$
d) $2x^2-7x+5$
e) $2x^2-7x+5$
f) $7x^2-15x+2$
g) $15x^2-26x+8$
h) *$32x^2-28x+5$
i) *$72x^2-42x+3$
j) *$72x^2-43x+6$
k) *$15x^2-32x+16$
l) *$24x^2-39x+18$
Question 7
Fully factorise
a) $6x^2+x-2$
b) $6x^2-x-12$
c) $6x^2-13x-5$
d) $15x^2+13x-6$
e) $10x^2+4x-6$
f) $11x^2-10x-1$
g) $8x^2+2x-3$
h) $24x^2+26x-5$
i) $72x^2+6x-1$
j) $12x^2+26x-10$
k) *$38x^2-15x-2$
l) *$96x^2-20x-25$
Question 8
Find a common factor before factorising the quadratic
a) $30x^2+28x+6$
b) $10x^2-54x+20$
c) $24x^2-54x-15$
d) $96x^2+136x-40$
e) $-6x^2-11x+7$
f) $-12x^2-4x+5$
g) $-24x^2+62x-14$
h) $-128x^2-64x+120$
Question 9
Fully factorise
a) $8k^2-14k-15$
b) $8x^4-14x^2-15$
c) $15y^4+29y^2-14$
d) $72z^6+23z^3-4$
e) $4x^2-3x-\frac92$
f) *$5x^2+\frac{34x}{3}-\frac{16}{3}$
g) *$\frac{12x^3}{5}+\frac{28x^2}{5}-x$
h) *$\frac{45x^4}{4}-\frac{41x^3}{2}+4x^2$
i) *$-14z^5+\frac{2z^4}{3}+\frac{4z^3}{3}$
j) *$-\frac{81a^5b^4}{2}+\frac{261a^5b^2}{8}+\frac{33a^5}{8}$
Answers
Question 1
a) $(x+2)(y+3)$
b) $(x+5)(y+6)$
c) $(a+4)(b+7)$
d) $(m+n)(p+q)$
e) $(v+3)(w-5)$
f) $(g+10)(h-1)$
g) $(x-2)(y+5)$
h) $(c-7)(d+2)$
i) $(x-3)(y-5)$
j) $(x-1)(y-1)$
k) $(a-b)(c-2d)$
l) $(x+2)(x+4)$
Question 2
a) $(2x+3)(x+2)$
b) $(2x+5)(x+1)$
c) $(3x+2)(x+2)$
d) $(5x+2)(x+5)$
e) $(5x+3)(x+1)$
f) $(7x+1)(x+3)$
g) $(4x+3)(x+5)$
h) $(6x+1)(x+7)$
i) $(8x+3)(x+3)$
j) $(10x+1)(x+5)$
k) $(12x+7)(x+9)$
l) $(12x+11)(x+12)$
Question 3
a) $(2x-3)(x-3)$
b) $(2x-5)(x-1)$
c) $(3x-2)(x-5)$
d) $(7x-1)(x-1)$
e) $(11x-2)(x-3)$
f) $(4x-1)(x-2)$
g) $(8x-3)(x-4)$
h) $2(5x-1)(x-8)$
i) $(9x-1)(x-10)$
j) $(6x-7)(x-4)$
k) $(12x-5)(x-4)$
l) $(12x-7)(x-8)$
Question 4
a) $(2x-3)(x+1)$
b) $(3x-2)(x+5)$
c) $(5x+1)(x-1)$
d) $(4x-1)(x+5)$
e) $(3x+7)(x-2)$
f) $(5x+2)(x-2)$
g) $(6x-5)(x+6)$
h) $(8x+3)(x-10)$
i) $(5x-6)(x+4)$
j) $(12x+5)(x-12)$
k) $(16x-9)(x+4)$
l) $(20x+7)(x-10)$
Question 5
a) $(2x+3)(3x+2)$
b) $(5x+2)(3x+1)$
c) $(2x+7)(2x+3)$
d) $(7x+1)(2x+1)$
e) $(3x+7)(5x+7)$
f) $(4x+1)(3x+5)$
g) $2(5x+2)(3x+1)$
h) $(4x+5)(6x+1)$
i) $(8x+3)(6x+7)$
j) $(6x+5)(10x+9)$
k) $(12x+13)(6x+5)$
l) $(20x+3)(10x+21)$
Question 6
a) $(2x-1)(3x-5)$
b) $(5x-2)(2x-1)$
c) $(7x-1)(3x-2)$
d) $(2x-5)(x-1)$
e) $(7x-2)(7x-1)$
f) $(x-2)(7x-1)$
g) $(3x-4)(5x-2)$
h) $(8x-5)(4x-1)$
i) $3(12x-1)(2x-1)$
j) $(9x-2)(8x-3)$
k) $(3x-4)(5x-4)$
l) $(4x-3)(5x-6)$
Question 7
a) $(2x-1)(3x+2)$
b) $(3x+4)(2x-3)$
c) $(2x-5)(3x+1)$
d) $(3x-1)(5x+6)$
e) $2(5x-3)(x+1)$
f) $(11x+1)(x-1)$
g) $(4x+3)(2x-1)$
h) $(6x-1)(4x+5)$
i) $(12x-1)(6x+1)$
j) $2(3x-1)(2x+5)$
k) $(19x+2)(2x-1)$
l) $(12x+5)(8x-5)$
Question 8
a) $2(3x+1)(5x+3)$
b) $2(5x-2)(x-5)$
c) $3(4x+1)(2x-5)$
d) $8(3x+5)(4x-1)$
e) $-(2x-1)(3x+7)$
f) $-(6x+5)(2x-1)$
g) $-2(3x-7)(4x-1)$
h) $-8(4x-3)(4x+5)$
Question 9
a) $(4k+3)(2k-5)$
b) $(4x^2+3)(2x^2-5)$
c) $(5y^2-2)(3y^2+7)$
d) $(8z^3-1)(9z^3+4)$
e) $\frac12(4x+3)(2x-3)$
f) $\frac13(5x-2)(3x+8)$
g) $\frac{x}{5}(6x-1)(2x+5)$
h) $\frac{x^2}{4}(9x-2)(5x-8)$
i) $-\frac{2z^3}{3}(7z+2)(3z-1)$
j) $-\frac{3a^5}{8}(9b^2+1)(12b^2-11)$
Solutions
Question 1
a) $xy+3x+2y+6$
$=x(y+3)+2(y+3)$
$=(x+2)(y+3)$
or
b) $xy+6x+5y+30$
$=x(y+6)+5(y+6)$
$=(x+5)(y+6)$
c) $ab+7a+4b+28$
$=a(b+7)+4(b+7)$
$=(a+4)(b+7)$
d) $mp+mq+np+nq$
$=m(p+q)+n(p+q)$
$=(m+n)(p+q)$
e) $vw-5v+3w-15$
$=v(w-5)+3(w-5)$
$=(v+3)(w-5)$
f) $gh-g+10h-10$
$=g(h-1)+10(h-1)$
$=(g+10)(h-1)$
g) $xy+5x-2y-10$
$=x(y+5)-2(y+5)$
$=(x-2)(y+5)$
h) $cd+2c-7d-14$
$=c(d+2)-7(d+2)$
$=(c-7)(d+2)$
i) $xy-5x-3y+15$
$=x(y-5)-3(y-5)$
$=(x-3)(y-5)$
j) $xy-x-y+1$
$=x(y-1)-(y-1)$
$=(x-1)(y-1)$
k) $ac-2ad-bc+2bd$
$=a(c-2d)-b(c-2d)$
$=(a-b)(c-2d)$
l) $x^2+4x+2x+8$
$=x(x+4)+2(x+4)$
$=(x+2)(x+4)$
Question 2
a)
or
b)
c)
d)
e)
f)
g)
h)
i)
j)
k)
l)
Question 3
a)
b)
c)
d)
e)
f)
g)
h)
i)
j)
k)
l)
Question 4
a)
b)
c)
d)
e)
f)
g)
h)
i)
j)
k)
l)
Question 5
a)
b)
c)
d)
e)
f)
g)
h)
i)
j)
k)
l)
Question 6
a)
b)
c)
d)
e)
f)
g)
h)
i)
j)
k)
l)
Question 7
a)
b)
c)
d)
e)
f)
g)
h)
i)
j)
k)
l)
Question 8
a)
b)
c)
d)
e)
f)
g)
h)
Question 9
a)
b)
c)
d)
e)
f)
g)
h)
i)
j)